Transition Is to Change as Immobility Is to
Dopaminergic Signaling In The Nucleus Accumbens Modulates Stress Coping Strategies During Inescapable Stress Journal Of Neuroscience
Attentive Immobility In The Face Of Inevitable Distal Threat Startle Potentiation And Fear Bradycardia As An Index Of Emotion And Attention Szeska 2021 Psychophysiology Wiley Online Library
Solved Passive Change Active O Movement O Increase O Chegg Com
Attentive Immobility In The Face Of Inevitable Distal Threat Startle Potentiation And Fear Bradycardia As An Index Of Emotion And Attention Szeska 2021 Psychophysiology Wiley Online Library
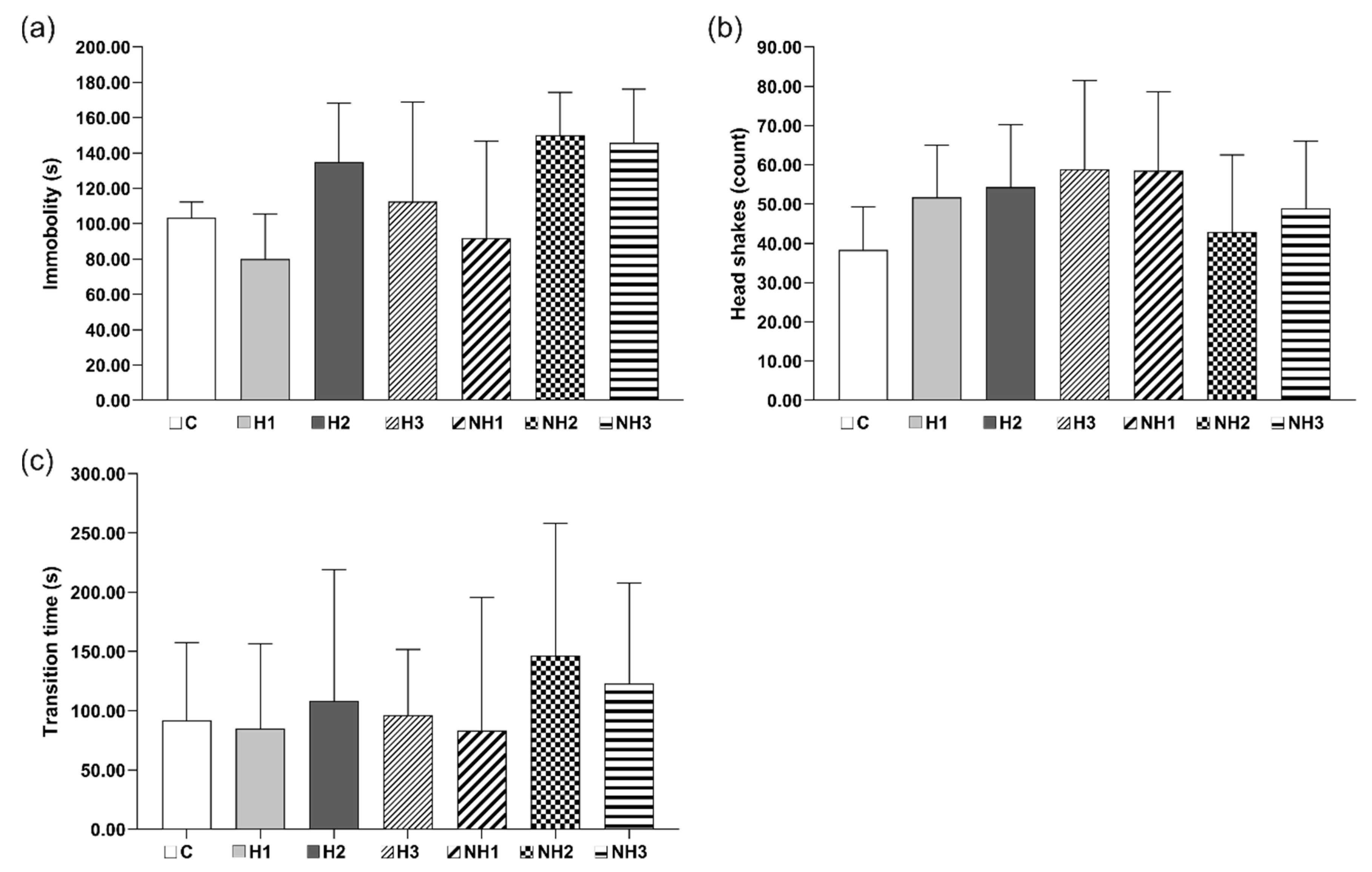
Molecules Free Full Text Imperatorin Influences Depressive Like Behaviors A Preclinical Study On Behavioral And Neurochemical Sex Differences Html
Hippocampal Theta Oscillations Are Modulated By Behaviour In The Ferret But Persist During Both Locomotion And Immobility Biorxiv
Dentate Gyrus Population Activity During Immobility Supports Formation Of Precise Memories Biorxiv
Molecules Free Full Text Plumbagin Alleviates Intracerebroventricular Quinolinic Acid Induced Depression Like Behavior And Memory Deficits In Wistar Rats Html
Dopaminergic Signaling In The Nucleus Accumbens Modulates Stress Coping Strategies During Inescapable Stress Journal Of Neuroscience
Im Mobility Categories Suggested By The Aspiration Capability Framework Download Scientific Diagram
Ijms Free Full Text B Carbolines In Experiments On Laboratory Animals Html
Dopaminergic Signaling In The Nucleus Accumbens Modulates Stress Coping Strategies During Inescapable Stress Journal Of Neuroscience
Access And Reach Of Linguistic Repertoires In Periods Of Change A Theoretical Approach To Sociolinguistic Inequalities
Pdf Understanding Immobility Moving Beyond The Mobility Bias In Migration Studies
Switching Between Clockwise And Counterclockwise Rotation Decreases Download Scientific Diagram
A Neural Pathway Controlling Motivation To Exert Effort Pnas
Molecules Free Full Text Plumbagin Alleviates Intracerebroventricular Quinolinic Acid Induced Depression Like Behavior And Memory Deficits In Wistar Rats Html
Amyloid B Oligomers In The Nucleus Accumbens Decrease Motivation Via Insertion Of Calcium Permeable Ampa Receptors Molecular Psychiatry

Comments
Post a Comment